본문 바로가기

전자공학/전자회로

[전자회로 심화 4-17] 커플링 콘덴서 용량 선정 방법

안녕하세요.

Edward입니다.

 

이번 시간에는 커플링 콘덴서의 용량 값 선정 방법에 대해서 얘기해보도록 하겠습니다.

2편 내용은 커플링 콘덴서를 실제 사용 예와 동작에 관해서 설명입니다.

커플링 콘덴서의 설명은 아래 링크 참고해주세요^^

[전자회로 심화 4-14] 커플링 콘덴서의 활용과 동작 1편

[전자회로 심화 4-15] 커플링 콘덴서의 활용과 동작 2편


시작하기에 앞서 사실 지금 말씀드리는 내용을 정확하게 이해하려면 콘덴서에 대한 정확한 기초 이해가 필요합니다.

그래서 먼저 콘덴서의 응용 첫 번째에 대해 알고 싶으시면 아래 링크를 참고해주시고, 더 깊게 이해하고 싶다면,

콘덴서에 대한 다른 링크도 참고해주세요 ^^ (더 많은 링크가 있지만 그중에서 추려낸 거예요 ^^)

[전자회로 심화 4-8] 콘덴서 응용과 평활 회로 1탄

[전자회로 심화 4-10] 콘덴서 응용과 필터 원리 1탄

[전자회로 심화 4-13] 콘덴서 극성에 대한 고찰 1편

[전자회로 입문 4] 콘덴서와 원리 완벽 이해

[전자회로 심화 4-1] 콘덴서 저항 완벽 이해

[전자회로 심화 4-2] 콘덴서의 용도와 종류 완벽 이해

[전자회로 심화 4-4] 모노 콘덴서 완벽 이해(동작 원리)

[전자회로 심화 4-5] 전해 콘덴서 완벽 이해 (원리와 사용법)

[전자회로 심화 4-12] 콘덴서 주파수와 온도 특성

[전자회로 심화 4-13] 콘덴서 내압

 

 

커플링 콘덴서의 용량에 대해서 언급해보겠습니다.

커플링 콘덴서의 용량 지정 방법에 대해 얘기하기 전에, 이전 내용에서 다뤘던 예시 회로를 다시 끄집어내 볼게요.

아래 회로에는 3개의 커플링 콘덴서를 사용했죠~

지금부터 이 커플링 콘덴서의 용량을 어떻게 지정할지에 대해서 얘기해볼게요.

커플링 콘덴서 사용 회로

 

하나씩 차근차근 볼 텐데요.

저번 시간에 다루지 않았던 출력 부분에 대해서 언급해보도록 할게요.

위 회로 풀이에 대해서 알고 싶으시다면, 아래 링크 참고해주세요 ^^

[전자회로 심화 4-15] 커플링 콘덴서의 활용과 동작 2편

 

 

출력 부분의 회로만 떼어내서 보면 아래 회로와 같아요.

아래 회로의 역할은 전압 시프트(Shift)입니다. +5V 전위의 신호를 0V 전위로 바꾸는 회로죠 ㅎㅎ

근데, 이 회로는 한 가지 기능이 더 있습니다.

바로 HPF(High Pass Filter) 기능입니다.

즉, 아래 회로는 "필터의 기능과 전압 시프트의 기능을 동시에 가지고 있는 회로"라는 것이에요!!

엄청난 발견!!!!!!

필터에 대해서 궁금하시다면, 아래 링크 참고해주세요^^

[전자회로 심화 4-10] 콘덴서 응용과 필터 원리 1탄

 

출력 회로 설명

 

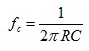
자 지금부터 용량 선정 방법에 대해서 설명드립니다.

먼저 HPF에 대해서 한 번 얘기해보죠.

HPF는 지정된 주파수보다 낮은 주파수를 제거하는 효과를 지니는 필터입니다.

다르게 말하면, "어떤 주파수보다 아래의 신호는 통과하기 힘들다"라고 표현할 수 있어요^^

근데, 이럴 수 있어요. 난 필터는 싫다. 빼고 싶다.

그래서 필터 기능을 없애기 위해 저항 R3을 제거한다고 해도 소용이 없습니다.

 

WHY?!

저항 R3을 제거한다 하더라도, 다음 회로의 입력 부분에 저항이 무조건 있기 때문에 저항 R3이 없어도 이를 대신할 저항이 있어요.

다음 회로의 입력 부분에 있다는 저항은 흔히 말하는 "입력 임피던스"입니다. 그래서 결국 R3을 제거해도 HPF가 되는 거죠.

그래서 이러면 어쩔 수 없이 필터를 사용하겠죠.

그래서 필터를 사용하고 출력하고 싶은 신호를 정상적으로 출력하기 위해서 "주파수를 정해버리면 됩니다."

간단해요. 필터의 공식을 이용하면 돼요 ㅎㅎ

필터의 공식(컷오프 주파수 공식)

 

 

해당 공식을 이용해서 컷 오프 주파수를 정하면 돼요.

보통 일반 오디오 시스템에서는 2Hz 이하로 설정해도 괜찮습니다.

그래서 쉽게 설명드리기 위해서 컷 오프 주파수를 2Hz에 맞춰서 설명드릴게요.

사실 필터 계산하면서 콘덴서를 정할 때, R3이나 C5 둘 중 아무거나 조정해도 상관 없어요.

하지만 방금 위 설명에서 언급했듯이, 다음단 회로에 아마도 90% 이상 입력 임피던스 저항이 부착될 거에요. 아마도 저항 값은 1MΩ, 10KΩ, 100K로 예측해봅니다.

그래서 "C"를 조절해서 원하는 컷오프 주파수를 맞추면 됩니다.

아마도 C5 값을 크게 하면 저역까지 충분히 통과 가능할 것 같아요.

ex1) R3=1MΩ일 경우, C5=0.1uF

ex2) R3=100kΩ일 경우, C5=1uF

ex3) R3=10kΩ일 경우, C5= 10uF


**** TIP!!

번외로, 오디오 시스템 입문자 혹은 옛날 시스템의 경우에는 입/출력 저항을 600Ω으로 구성해놓는 경우가 많아요.

그래서 입력 저항이 600Ω일 경우에 컷오프 주파수를 2Hz에 맞추려면, 133uF 용량의 콘덴서를 사용해야 해요.

용량 값이 커서 정말 될까? 하는데, 정말 사용되요.

TV의 비디오 신호는 75Ω을 사용하는데, 그러면 콘덴서는 1000uF를 사용해야 합니다. 난감하죠??ㅎㅎ

 

 

그래서 결론은!?

C5, R3 출력 회로를 위 회로에서 HPF에 맞춰 설명한 것처럼, 이전에 설명했던 입력 회로 C1, R2와 앰프 간의 연결된 C3 또한 동일하게 HPF가 구성돼요. C3의 경우 회로상으로는 보이지 않지만 간혹 부착하는 경우가 있거나, 앰프 내부에 입력 임피던스가 설정되어 있는 경우가 있습니다.

그래서 저항 값이 정해져 있으니, 그에 맞춰 콘덴서 값을 정해서 컷 오프 주파수를 정하면 됩니다.^^

그런데, 좀 헷갈리는 부분이 C1에요. R2가 +5V로 연결되어 있기 때문에 이해하기가 애매하네요.

하지만!! 그거 아세요?! 0V든 +5V든 직류(변화하지 않는 전압)에 연결되어 있다면, 동일해요!!

이 말이 무슨 말이냐면, +5V 직류는 교류 입장에서는 0V와 같아요 ㅎㅎㅎ

이전 내용에서 R2는 전압 시프트(Shift) 부분이라고 설명했죠??

역할이 결국 +5V 전위로 변경해주는 거니까 +5V 직류는 결국 전위가 바뀌는 역할이 전부에요.

그리고 인가되는 신호는 "교류"이니깐, 결국 R2에는 직류가 흐르지 않아요. 그래서 교류 입장에서는 0V랑 동일해요.

이 부분은 R3도 동일해요. ^^