본문 바로가기

전자공학/전자회로

[전자회로 기초 6-4] OPAMP 출력 임피던스

안녕하세요.

Edward입니다.

 

임피던스를 설명하기 위해서 임피던스 내용을 이어서 진행해보고자 합니다.

임피던스에 대해 잘 모르신다면 아래 링크 참고해주세요 ^^

[전자회로 기초 6-1] 임피던스 기초

[전자회로 기초 6-2] 임피던스 기초 TIP

[전자회로 기초 6-3] 내부저항 임피던스

 

이전 내용에서 내부저항이라는 놈에 대해서 알아봤습니다. 이제 이 내부 저항이 실제로 어떤 동작을 하는지에 대해서 이번에 OPAMP라는 앰프를 가지고 설명을 진행해보려고 해요.

아래 그림을 먼저 보시면 어떠한 OPAMP에서 "1V"의 교류 신호를 출력을 하고 있다고 가정해볼게요.

이때, 앰프의 출력률, Gain, 주파수, 레벨 등등의 요소를 모두 없애고 이상적으로 생각하는 1V 교류 신호라고 가정합니다 ^^

출력임피던스 설명

위 그림을 보시면 <그림 1>의 등가 회로가 <그림 2>가 됩니다.

내부저항 임피던스 편에서 설명드렸다시피 건전지 내부에도 "내부 저항"이라는 요소가 존재했었죠??

당연히 앰프에도 내부 저항이라는 요소가 존재할 거예요.

<그림 2>에서 r이 opamp의 내부 저항입니다.

 

 

지금부터 OPAMP에 대해서 설명드릴 건데요. 어떤 OPAMP라도 출력에 저항이 존재합니다. 그리고 이 저항을 "출력 임피던스"라고 표현해요. 이전 임피던스 기초 편에서 설명드렸다시피, 임피던스라는 명칭을 사용하는 이유는 OPAMP가 교류 신호를 다루기 때문이에요.

즉, 교류 신호에 대한 내부 저항이 출력 임피던스가 되는 것이죠.

자, 지금부터 OPAMP 회로를 한 번 보도록 할게요. 아래 회로는 증폭률 2배의 OPAMP 회로입니다.

opamp 출력임피던스

회로 설명을 드리면, A라는 입력단자에서 입력되는 신호는 전압 레벨이 2배가 되어 B의 출력 단자로 나오게 돼요.

방금 전 말씀드렸다시피 opamp도 내부저항이라는 게 있다고 했죠~?

그럼 opamp의 출력 임피던스를 어떻게 알 수 있을까요?? 다르게 말해서 어떻게 측정할 수 있을까요??

우리가 일반적으로 아는 이론으로는 "출력 방향에서 회로를 보는 저항치이니까 멀티미터(DMM)를 사용해서 GND와 B 출력 단자를 찍으면 된다"라고 생각합니다.

하지만 여기서 우리가 간과한 사실이 한 가지 있어요. 멀티미터는 "직류"에 대한 저항치만 측정할 수 있습니다.

엄밀히 말하자면 출력 회로 부분은 용량성 리액턴스로 신호의 주파수로 인해 콘덴서의 저항치가 바뀌게 동작이 되는데요. 즉, 이 콘덴서의 저항이 회로의 출력 임피던스의 일부가 됩니다.

해당 내용에 대해 좀 더 깊게 알고 싶으시다면 아래 링크를 참고해주세요 ^^

[전자회로 심화 4-17] 커플링 콘덴서 용량 선정 방법

 

[전자회로 심화 4-17] 커플링 콘덴서 용량 선정 방법

안녕하세요. Edward입니다. 이번 시간에는 커플링 콘덴서의 용량 값 선정 방법에 대해서 얘기해보도록 하겠습니다. 2편 내용은 커플링 콘덴서를 실제 사용 예와 동작에 관해서 설명입니다. 커플링 콘덴서의 설명은..

openstory.tistory.com

 

 

자 이제, <그림 3>과 <그림 4>를 같이 보시면 OPAMP 내부에도 당연히 저항이 있다는 걸 아실 수 있어요.

<그림 4>를 보시면 OPAMP 내부에는 OPAMP 교류 전원과 내부저항 Zop이 있습니다. Zop인 이유는 임피던스는 기호가 "Z"이기 때문입니다 ^^

그러면 위 내용들을 다시 정리해서 등가 회로로 그리면 아래와 같은 형태로 바뀌게 돼요 ㅎㅎ

OPAMP 출력임피던스 등가회로

지금 이 등가 회로는 출력 부분만 간단하게 표현한 것입니다!(그림 5)

Zc는 콘덴서의 용량성 리액턴스로 인해 변하는 저항치이며, Zop는 OPAMP의 내부저항입니다.

그리고 <그림 5>를 좀 더 출력 쪽에 가깝게 단순화시키면 <그림 6>이 됩니다.

좀 더 단순화시킨 이유는 교류 전원 부분의 저항은 '0'입니다. 왜냐하면 별도로 Zop라고 명칭이 추가되었기 때문이에요 ㅎㅎ 내부저항이 있으니깐요~

 

 

이렇게 되면 계산을 통해서 출력 임피던스를 알아낼 수 있어요!

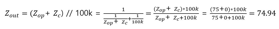
출력임피던스 공식

Zout은 임피던스의 합성 치이며, 출력 임피던스 값입니다.

여기서 // 는 병렬을 의미합니다.

그리고 사실 OPAMP IC마다 내부저항 Zop이 다릅니다. 일반적인 OPAMP의 Zop는 50~100Ω이에요. Zop는 IC의 사용조건에 따라 바뀌는 점 참고해주세요 ^^ 저는 그냥 대략 75Ω으로 계산할게요.

Zc의 경우, 출력 신호 주파수가 문제없이 통과할 수 있는 수치로 결정하기 때문에 0Ω으로 결정하면 됩니다.

다만, 다음 회로의 입력 임피던스에 의해서도 저항치가 바뀌기 때문에 무조건 0Ω은 아니에요 ㅎㅎ

어쨌든 위와 같은 공식을 이용해서 출력 임피던스를 구할 수 있습니다.

정말 장황하게 설명해서 여기까지 오게 되었는데, 제가 말하고자 하는 요지는 OPAMP 또한 내부 저항이 있으며, 교류 신호로 출력하기 때문에 임피던스를 고려해야 한다. 그리고 멀티 미터기로는 측정하기 어렵다.입니다 ^^

요즘은 OPAMP의 성능도 많이 좋아져서 내부 저항을 고려할 필요가 없는 걸로 알고 있어요.

그리고 TR의 경우에는 출력 임피던스를 일반 저항으로 병렬로 부착시켜서 정하는 경우도 있어요 ㅎㅎ