안녕하세요.
Edward입니다.
임피던스를 설명하기 위해서 임피던스 기초 내용을 이어서 진행해보고자 합니다.
임피던스에 대해 잘 모르신다면 아래 링크 참고해주세요 ^^
자, 시작해보도록 하겠습니다.
좀 더 쉽게 이해를 시키고자 저는 "건전지"에 대한 설명을 하려고 해요.
왜?! 사실 건전지는 저항의 등가 저항처럼 내부 저항이 존재합니다~
우리가 생각하는 이상적인 건전지는 저항도 '0'이고 전압/전류만 딱 정확하게 인가해줄 것이라고 생각하지만,
현실은 이상과 많이 다르죠 ^^
다들 아시겠지만 건전지는 "전원"으로 표현할 수도 있어요.
전기에너지를 담고 있어서 필요에 따라 꺼내쓸 수 있기 때문이죠.
진짜 건전지에 대해 설명을 나열해서 아래의 그림과 비교하면 다음과 같아요!
건전지는 내부에는 "E"라는 기전력과 "r" 내부 저항이 직렬로 연결된 것과 같은 구조예요.

그 어떤 건전지도 전부 "내부저항"이라는 것이 존재합니다.
정확하게 몇 Ω인지는 종류에 따라 다르므로 정확하게 얘기할 수는 없어요.
다만, 니켈카드뮴 같은 충전을 할 수 있는 건전지들은 낮은 저항을 가지고 있어요. (일반적으로 비싼 제품 쪽이 내부 저항이 낮아요.)
또! 크기가 작아질수록 내부 저항은 높아져요.
또또! 건전지에 큰 전류를 흘릴 때에는 이 내부 저항이라는 놈이 방해물이니 알고 계시면 좋을 것 같아요 ^^
자, 다시 "건전지의 등가 회로"를 보시겠어요?!
보시면 건전지와 병렬로 외부 저항이 하나 부착되어 있죠??
사실 건전지는 기본적으로 이런 구조면 "방전"을 시작하면서 건전지의 전기 에너지를 꺼내 쓸 수 있습니다.
그리고 전류의 방향은 그림에 표현된 대로 흐르고 있습니다.
어렵게 생각할 필요 없어요.
저 회로는 딱! 단순하게 "전지에서 전류가 나오고 그 전력이 저항에 의해 소비되고 소비된 에너지는 열이 돼요. 즉, 저항이 발열하면서 열이 공기 중에 분산돼요"이에요.
갑자기 전류 전력 저항의 소비 등등 많은 용어가 나오는데요. 어렵지 않습니다 ㅎㅎ
옴의 법칙만 제대로 알고 있으면 되니깐요 ^^(옴의 법칙이 헷갈리거나 잘 모르겠으면 아래 링크 참고해주세요 ^^)
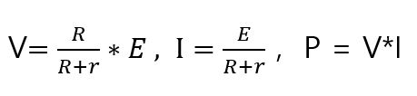
전력은 파워(W)의 단위로 P=V*I로 계산될 수 있습니다 ^^
모든 저항은 에너지를 열로 소비합니다 ^^(저항을 모르겠다면 아래 링크 참고해주세요 ^^)
자, 그러면 간단하게 건전지의 MAX 전력을 끄집어내기 위해서는 몇 Ω의 저항을 사용하면 될지 수식을 볼게요.
아래 회로를 예로 들어볼게요!

내부 저항이 2Ω인 건전지가 있네요. 아직 계산해서 답을 내리기 전에, 단순하게 생각해보자고요.
건전지를 사용하기 위해서 가장 쉬운 방법인 저항을 부착하는 일이 있어요!
그리고 저항은 열로 전력을 소비하게 되죠 ㅎㅎ
그렇다면?! "결국 기전력 12V에 내부저항과 외부 저항의 합산 저항치가 전력을 소비하게 됩니다."
간단하게 수식부터 설명드릴게요 ~

전력 P와 전압 V, 전류 I를 구하는 공식에 대해서 설명드렸어요 ㅎㅎ
위 회로에는 외부 저항이 4Ω으로 표기되어 있네요. 그러면 저항 합산치는 6Ω이 됩니다.
여기서 참으로 헷갈리는 전자의 세계인데요. 전지 입장에서는 외부 저항이 병렬인데, 이를 "변형"시키면 저항 2개는 직렬로 합산 저항치가 되고 이를 병렬로 기전력과 연결되어 있는 구조로 "변형"이 될 수 있어요.
저도 참 어렵습니다 ㅎㅎ
쨌든! 이렇게 계산을 한다면, 전류는 I=V/R = 12/6 = 2A가 되고, 외부 저항에는 V=IR = 2*4 = 8V가 소비됩니다.
내부 저항은 V=IR = 2 * 2 = 4V가 소비되죠 ^^
사실 여기서 중요한 점은, 최대의 전력을 이끌어내고 싶다면, 외부 저항과 내부 저항이 같은 수치가 되면, 파워가 최대치가 됩니다.
예를 들어, r=2Ω, R=2Ω이 될 때, 가장 큰 전력이 소비됩니다.
그리고 전압만 꺼내고 싶다면, 외부 저항을 크게 설정하면 됩니다 ^^
사실 이 내용을 왜 말씀드리냐면, 결국 이러한 내부 저항, 외부 저항 같은 내용들이 합쳐져서 나중에 출력 임피던스, 입력 임피던스에 연관이 있게 되기 때문입니다 ㅎㅎ
건전지의 내부저항을 통해서 전류, 전압, 전력 등을 설명하였는데요. 이 설명으로 건전지 내부에도 "저항"이라는 요소가 있는 것과 이 저항이 어떤 효과를 불러일으키는지까지 설명드렸어요. 앞으로 건전지를 생각할 때는 필연적으로 "저항"이라는 것이 내부에 존재한다.라는 것을 알게 되었죠?ㅎㅎ 이 저항은 전류를 흘려보내기 시작할 때 생기는 화학작용 등의 결과로 필연적으로 생기게 되는 저항이라는 점도 생각해주세요 ^^
'전자공학 > 전자회로' 카테고리의 다른 글
| [전자회로 기초 6-5] 임피던스 매칭 1편 (0) | 2020.04.02 | 
|---|---|
| [전자회로 기초 6-4] OPAMP 출력 임피던스 (0) | 2020.03.31 | 
| [전자회로 기초 6-2] 임피던스 기초 TIP (1) | 2020.01.15 | 
| AWG 전선 규격표 (0) | 2020.01.15 | 
| [전자회로 기초 6-1] 임피던스 기초 (0) | 2020.01.14 |